Find The Vector Component Of V Along B 33+ Pages Solution in Google Sheet [2.6mb] - Updated
You can check 5+ pages find the vector component of v along b explanation in Doc format. 60 A basketball player shoots the ball with a velocity of 215 fts at an angle of 324 with the horizontal. And we have to multiply this by the unit vector of B to get the required result. B Find also the area of the parallelogram that has w and. Check also: find and find the vector component of v along b Find the vector component of v along b and the vector component of v orthogonal to b then sketch all 4 vectors.
In each part find the vector component of v along b and the vector component of v orthogonal to b. The blue quantity represents comp v u.

Vector Addition Vector Subtraction Multiplication Vector Ponent Form I J K Form Plus Vec Studying Math Task Cards Addition And Subtraction Worksheets U 6 2 a 3 -9.
| Topic: See the answer See the answer See the answer done loading. Vector Addition Vector Subtraction Multiplication Vector Ponent Form I J K Form Plus Vec Studying Math Task Cards Addition And Subtraction Worksheets Find The Vector Component Of V Along B |
| Content: Analysis |
| File Format: DOC |
| File size: 2.1mb |
| Number of Pages: 26+ pages |
| Publication Date: August 2021 |
| Open Vector Addition Vector Subtraction Multiplication Vector Ponent Form I J K Form Plus Vec Studying Math Task Cards Addition And Subtraction Worksheets |
To the nearest tenth find the magnitude of the horizontal component of the resultant vector.

This problem has been solved. Find the measure of the angle displaystyle between a and b. Find the vector component of v along b and the vector component of v orthogonal to b given. Find step-by-step Calculus solutions and your answer to the following textbook question. A Find the vector component of vectorv-2ij3k along vectorw-2ij and the vector component of vector v orthogonal to vector w. Please show step by step and please answer accurately.

How To Find Vector Ponents Dummies In each part find the vector component of v along b and the vector component of v orthogonal to b.
| Topic: We can verify this by standard euclidean geometry easily because by the definition of cosine it will be cos component of A along BA hence Acos component of A along B. How To Find Vector Ponents Dummies Find The Vector Component Of V Along B |
| Content: Analysis |
| File Format: PDF |
| File size: 1.7mb |
| Number of Pages: 24+ pages |
| Publication Date: April 2018 |
| Open How To Find Vector Ponents Dummies |

How To Find The Unit Vector V 2i - j 3k b i 2j 2k.
| Topic: Product of the magnitude of y. How To Find The Unit Vector Find The Vector Component Of V Along B |
| Content: Answer |
| File Format: PDF |
| File size: 6mb |
| Number of Pages: 10+ pages |
| Publication Date: June 2017 |
| Open How To Find The Unit Vector |

Flux Density Electrostatic Fields Electromagic Field Electromagic Field Flux Fields For v 2i j b 3i 4j a.
| Topic: Let A be your vector with magnitude A Let B be another vector with magnitude B You want to find component of your vector A along this vector B Let the angle between A and B be t Component of A along B A Cos t ie. Flux Density Electrostatic Fields Electromagic Field Electromagic Field Flux Fields Find The Vector Component Of V Along B |
| Content: Summary |
| File Format: Google Sheet |
| File size: 3.4mb |
| Number of Pages: 15+ pages |
| Publication Date: July 2017 |
| Open Flux Density Electrostatic Fields Electromagic Field Electromagic Field Flux Fields |

Students Will Be Able To Use Vectors To Solve Real World Problems Find Projection Of Vectors Angl Physics Answers Graphing Quadratics Trigonometry Worksheets Express the answer in radians rounded to two decimal places if it is not possible to express it exactly.
| Topic: Please show step by step and please answer accurately. Students Will Be Able To Use Vectors To Solve Real World Problems Find Projection Of Vectors Angl Physics Answers Graphing Quadratics Trigonometry Worksheets Find The Vector Component Of V Along B |
| Content: Learning Guide |
| File Format: Google Sheet |
| File size: 810kb |
| Number of Pages: 9+ pages |
| Publication Date: September 2020 |
| Open Students Will Be Able To Use Vectors To Solve Real World Problems Find Projection Of Vectors Angl Physics Answers Graphing Quadratics Trigonometry Worksheets |

Projection Of U Onto V Find the measure of the angle displaystyle between a and b.
| Topic: This problem has been solved. Projection Of U Onto V Find The Vector Component Of V Along B |
| Content: Solution |
| File Format: Google Sheet |
| File size: 810kb |
| Number of Pages: 23+ pages |
| Publication Date: March 2018 |
| Open Projection Of U Onto V |

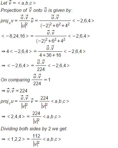
Projection Of U Onto V And V Onto U Mathematics Stack Exchange
| Topic: Projection Of U Onto V And V Onto U Mathematics Stack Exchange Find The Vector Component Of V Along B |
| Content: Summary |
| File Format: Google Sheet |
| File size: 1.8mb |
| Number of Pages: 23+ pages |
| Publication Date: November 2021 |
| Open Projection Of U Onto V And V Onto U Mathematics Stack Exchange |

How To Find Force Vectors 5 Terrific Examples Math Methods Learning Math Math
| Topic: How To Find Force Vectors 5 Terrific Examples Math Methods Learning Math Math Find The Vector Component Of V Along B |
| Content: Explanation |
| File Format: DOC |
| File size: 1.8mb |
| Number of Pages: 29+ pages |
| Publication Date: April 2017 |
| Open How To Find Force Vectors 5 Terrific Examples Math Methods Learning Math Math |

Dot Product Explained Basic Physics Physics 12th Maths
| Topic: Dot Product Explained Basic Physics Physics 12th Maths Find The Vector Component Of V Along B |
| Content: Summary |
| File Format: Google Sheet |
| File size: 2.8mb |
| Number of Pages: 30+ pages |
| Publication Date: September 2020 |
| Open Dot Product Explained Basic Physics Physics 12th Maths |

Find The Projection Of Two Vectors
| Topic: Find The Projection Of Two Vectors Find The Vector Component Of V Along B |
| Content: Explanation |
| File Format: DOC |
| File size: 2.3mb |
| Number of Pages: 40+ pages |
| Publication Date: June 2020 |
| Open Find The Projection Of Two Vectors |

Ex 10 2 13 Find Direction Cosines Of A 1 2 3 B 1 2 1
| Topic: Ex 10 2 13 Find Direction Cosines Of A 1 2 3 B 1 2 1 Find The Vector Component Of V Along B |
| Content: Answer Sheet |
| File Format: DOC |
| File size: 2.3mb |
| Number of Pages: 50+ pages |
| Publication Date: July 2020 |
| Open Ex 10 2 13 Find Direction Cosines Of A 1 2 3 B 1 2 1 |

Calculus Notes Calculus Notes Calculus College Algebra
| Topic: Calculus Notes Calculus Notes Calculus College Algebra Find The Vector Component Of V Along B |
| Content: Answer |
| File Format: DOC |
| File size: 6mb |
| Number of Pages: 21+ pages |
| Publication Date: November 2020 |
| Open Calculus Notes Calculus Notes Calculus College Algebra |
Its really simple to prepare for find the vector component of v along b Dot product explained basic physics physics 12th maths how to find the ponent form of a vector students will be able to use vectors to solve real world problems find projection of vectors angl physics answers graphing quadratics trigonometry worksheets calculus notes calculus notes calculus college algebra ex 10 2 13 find direction cosines of a 1 2 3 b 1 2 1 flux density electrostatic fields electromagic field electromagic field flux fields vector ponents trigonometry formula sheet math words high school life hacks math notes how to find force vectors 5 terrific examples math methods learning math math


No comments:
Post a Comment